
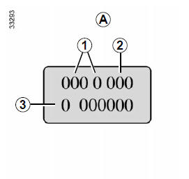
Die daten auf dem motortypenschild oder dem aufkleber a sind bei jedem schriftverkehr oder bei einer teilebestellungen anzugeben.
(Position je nach motortyp verschieden)




Radbremszylinder aus-und einbauen
In die radbremszylinder der trommelbremsen sind fest eingestellte
bremskraftbegrenzer integriert. Ist der radbremszylinder
defekt oder die funktion des bremskraftbegrenzers
gestört, so muß die komplette einheit ersetzt werden. Eine
reparatur ist nicht zul ...
Automatische verriegelung der türen, hauben, klappen während der fahrt
Funktionsprinzip
Sobald sie nach fahrtbeginn eine geschwindigkeit
von 10 km/h erreichen, löst
das system die automatische verriegelung
der türen/hauben/klappen aus.
Die entriegelung erfolgt:
Durch drücken des entriegelungsknopfes
1 der fa ...
Copyright www.renclio.org | Renault Clio Betriebsanleitung und Reparaturanleitung